CeramCool® Honeycomb Cooler
      
Large-area liquid Cooling with a Power Density of up to 400 W/cm2
The three-dimensionally processed honeycomb heat-sinks made of aluminum nitride are ideally suited for applications that require efficient cooling for very large surfaces.

CeramTec honeycomb heat-sinks have been proven in practical applications for more than 20 years. The monolithic structure made of AlN ceramic is absolutely air tight after firing, making it the perfect choice for high external pressure applications.
 CeramCool® Honeycomb Cooler
- Flat, monolithic heat-sink design
- Both cooling connections are on the same side
- Suitable for high external pressure applications
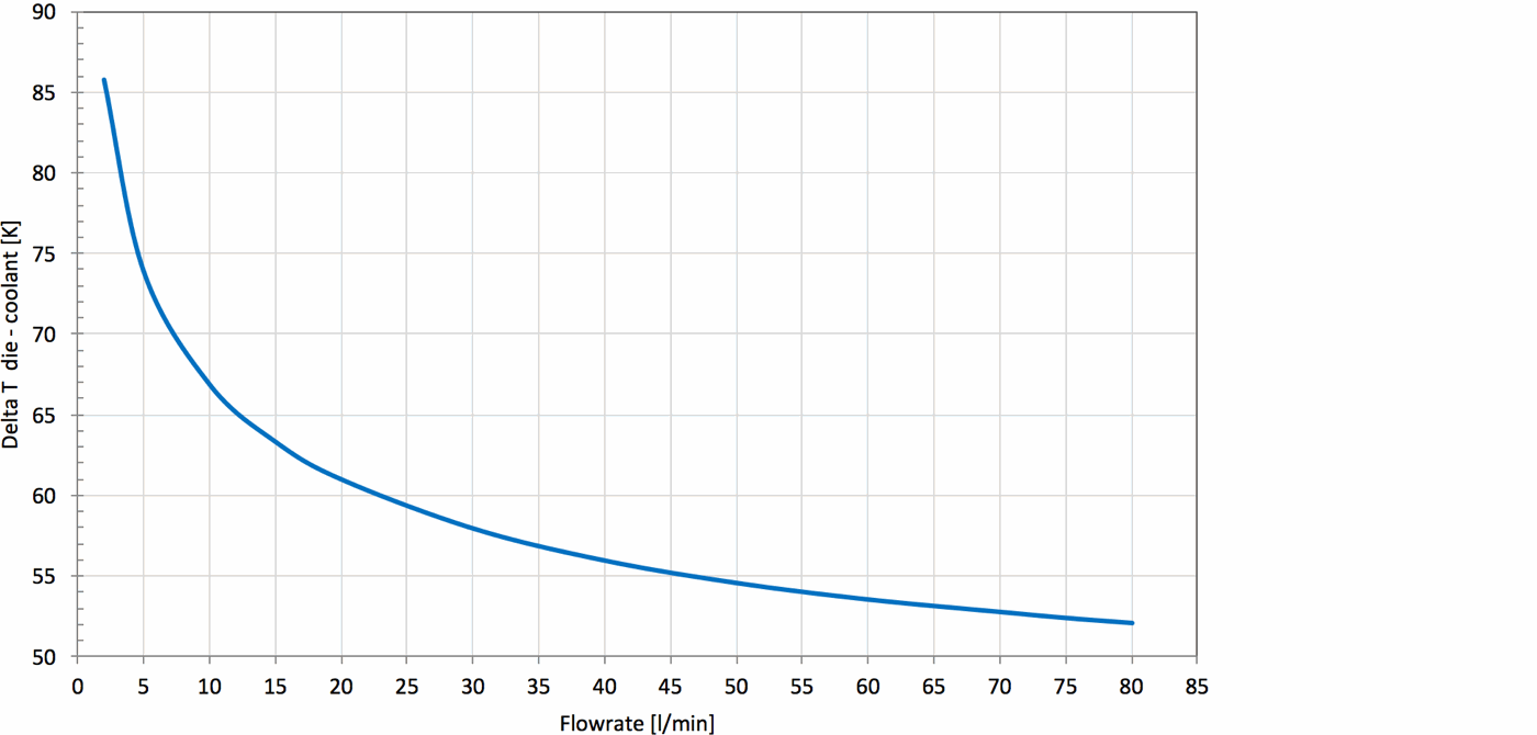
- Power densities of up to 400 W/cm2

        Back to Overview Page
      



